Tugas A
1. 2 bola diambil berturut – turut tanpa di kembalikan dari kotak yang berisi 4 bola merah
(M) dan 3 bola biru (B). Buatlah semua kemungkinan nilai variable random Y yang menggambarkan jumlah bola merah yang terambil.
Jawab :
2. Diketahui ruang sampel dari sebuah percobaan
Tentukan distribusi probabilitas diskritnya!
Jawab :
3. Diketahui ruang sampel dari sebuah percobaan
Tentukan distribusi probabilitas diskrit kumulatifnya!
Jawab:
Tugas B
1.Pada pelemparan dua dadu. Tentukan harapan matematis munculnya jumlah muka dua dadu, jika X manyatakan jumlah muka dua dadu.
Jawab:
E(X) = (2) (P=2) + (3) (P=3) + (4) (P=4) + (5) (P=5) + (6)(P=6) + (7) (P=7) + (8)
(P=8) + (9) (P=9) + (10) (P=10) + (11) (P=11) + (12) (P=12)
E(X) = (2) (1/36) + (3) (2/36) + (4) (3/36) + (5) (4/36) + (6) (5/36) + (7) ( 6/36) + (8)
(5/36) + (9) (4/36) + (10) (3/36) + (11) (2/36) + (13) (1/36)
E(X) = 252/36 = 7
2. Jika seseorang membeli sebuah lotere, maka ia dapat memenangkan hadiah pertama sebesar Rp. 50.000.000,- atau hadiah kedua Rp. 20.000.000,- masing masing dengan probabilitas 0,001 dan 0,003. Berapa seharusnya harga yang fair untuk lotere tersebut?
Jawab:
0,001 = Rp. 50.000.000,-
0,003 = Rp. 20.000.000,-
(0,001+0,003)/2 = 0,002
0,002 = x
1 x 50.000.000 = 2 * x
x = 50.000.000 : 2
x = 25.000.000
Baca Juga :
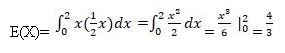
3.Fungsi kepadatan dari suatu variable acak X ditentukan oleh
Maka nilai ekspektasi dari X adalah?
Jawab:
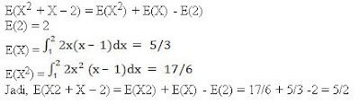
4.Permintaan minuman dalan liter per minggu dinyatakan dalam fungsi variable random g(X) = X2 + X -2, dimana X mempunyai fungsi padat :
Tentukan nilai rataan dari permintaan minuman tersebut.
Jawab:
Tugas C
1.Tiga uang logam dilempar secara bersamaan. Pemain mendapat Rp. 5.000,-bila muncul semua sisi angka (A) atau semua sisi gambar (G), dan membayar Rp. 3.000,- bila muncul sisi angka satu atau dua. Berapa harapan kemenangannya?
Jawab:
Ruang sampel dari pelemparan 3 uang logam adalah:
S = {AAA, AAG, AGA, AGG, GGG, GGA, GAG, GAA} Tiap sampel mempunyani peluang sama, yaitu
1/8.
Misalkan X menyatakan besarnya kemenangan (dalam Rp).
Kemungkinan nilai Y adalah Rp 5000,- bila kejadian E1 = {AAA, GGG} yang muncul dan Rp -3.000,- bila kejadian E2 = {AAG, AGA, AGG, GGA, GAG, GAA} yang muncul.
P(E1)
= 2/8
= ¼
P(E2)
= 6/8
= ¾
μ = E(Y) = (5000,-)(1/4) + (-3)(3/4) = -1
Artinya si pemain kalah sebesar Rp 1000,- setiap lemparan 3 mata uang.
Semoga bermanfaat dan sala Dutormasi!!
Semoga bermanfaat dan sala Dutormasi!!
























