1.Tugas Soal 1 (Uji rata-rata)
- Perusahaan reksadana menyatakan bahwa hasil investasinya rata-rata mencapai 13,17%.
- Untuk menguji apakah pernyataan tersebut benar, maka lembaga konsultan CESS mengadakan penelitian pada 36 perusahaan reksadana dan didapatkan hasil bahwa rata-rata hasil investasi adalah 11,39% dan standar deviasinya 2,09%.
- Ujilah apakah pernyataan perusahaan reksadana tersebut benar dengan taraf nyata 5%.
Jawab :
Langkah 1 :
Merumuskan Hipotesa, Hipotesa yang menyatakan bahwa rata-rata hasil investasi sama dengan 13,17%. Ini merupakan hipotesa nol, dan hipotesa alternatifnya adalah rata-rata hasil investasi tidak sama dengan 13,17%. Hipotesa tersebut dapat dirumuskan sebagai berikut:
H0 : m = 13,17%.
H1 : m ≠ 13,17%.
Langkah 2 :
Menentukan taraf nyata. Taraf nyata sudah ditentukan sebesar 5%, apabila tidak ada ketentuan dapat digunakan taraf nyata lain. Taraf nyata 5% menunjukkan probabilitas menolak hipotesis yang benar 5%, sedang probabilitas menerima hipotesis yang benar 95%.
Nilai kritis Z dapat diperoleh dengan cara mengetahui probabilitas daerah keputusan H0 yaitu Za/2 = a/2 – 0,5/2 = 0,025 dan nilai kritis Z dari tabel normal adalah 1,96.
Langkah 3 :
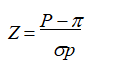
Melakukan uji statistik dengan menggunakan rumus Z. Dari soal diketahui bahwa rata-rata populasi = 13,17%, rata-rata sampel 11,39% dan standar deviasi 2,09%. Mengingat bahwa standar deviasi populasi tidak diketahui maka diduga dengan standar deviasi sampel, dan standar error sampel adalah sx = s/Ön sehingga nilai Z adalah :
Langkah 4 :
Menentukan daerah keputusan dengan nilai kritis Z=1,96 Langkah 5 :
Mengambil Keputusan. Nilai uji Z ternyata terletak pada daerah menolak H0. Nilai uji Z = –5,11 terletak disebelah kiri –1,96. Oleh sebab itu dapat disimpulkan bahwa menolak H0, dan menerima H1, sehingga pernyataan bahwa hasil rata-rata investasi sama dengan 13,17% tidak memiliki bukti yang cukup kuat.
2.Tugas Soal 2 (Uji Beda Rata-rata)
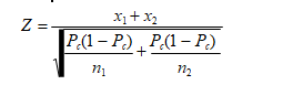
- Kita ingin membandingkan rata-rata kandungan lemak pada produk susu yang diharuskan minimum sebesar 5 gram per sachet.
- Suatu survei untuk membandingkan kandungan lemak susu antara dua perusahaan dengan memilih sampel sebanyak 100 sachet produk A dan 100 sachet produk B.
- Berdasarkan hasil survei ditemukan rata-rata kandungan lemak produk A adalah 5,12 kg sedangkan produk B adalah 5,13 kg dengan deviasi standar produk A adalah 0,05 dan produk B adalah 0,06.
- Ujilah apakah kandungan lemak susu per sachet kedua produk tersebut sama atau berbeda
Jawab :
Untuk menjawab pertanyaan tersebut kita menggunakan uji Z tentang perbedaan
mean atau rata-rata. Langkah-langkah pengujiannya adalah sebagai berikut:
1. Menyatakan hipotesis null dan hipotesis alternatif. Hipotesis null dan alternatifnya dinyatakan sebagai berikut:
4.Memformulasi Keputusan.
Dengan memilih level signifikansi 95% uji dua arah kita mendapatkan nilai Z tabel sebesar 1,96. Dengan membandingkan nilai z hitung dengan z tabel di mana z hitung lebih kecil dari pada Z tabel maka dapat kita simpulkan bahwa z hitung terletak pada daerah penerimaan H0, sehingga bisa disimpulkan bahwa rata-rata kandungan susu kedua produk adalah sama. Selengkapnya dapat kita gambarkan dalam Gambar 5.8 sebagai berikut:
- Suatu survei tentang merek kacang garing yang dibeli oleh konsumen menyatakan bahwa proporsi kacang garing merek A dikonsumsi 60% konsumen yang menjadi responden.
- Dengan menggunakan uji hipotesis proporsi, nilailah peluang bahwa kacang merek A dipilih oleh para konsumen jika dari hasil penelitian selanjutnya yang dilakukan terhadap 1000 orang, sebanyak 500 orang menyatakan memilih merek A,
- Ujilah apakah perbedaan hasil penelitian tersebut sesuai dengan survei sebelumnya?
- Suatu survei tentang majalah mengungkapkan bahwa majalah “Ekonomia” dibaca oleh pembaca 45% dari seluruh pembaca laki‐laki, dan 46% pembaca perempuan dari seluruh pembaca perempuan.
- Manajer pemasaran majalah ingin membuktikan kebenaran survei tersebut dengan mengadakan penelitian terhadap pembaca di suatu kota. Jumlah responden laki‐laki dipilih 150 orang dan yang membaca majalah sebanyak 69 orang mengaku membaca majalah “Ekonomia”, sedangkan dari 200 orang responden perempuan yang membaca majalah “Ekonomia” adalah 95 orang.
- Dengan menggunakan uji hipotesis proporsi ujilah apakah proporsi pembaca majalah tersebut sama?


























